三菱PLC風洞測試軟件設計
今天海藍給大家分享一篇關于三菱PLC風洞測試軟件設計的文章。詳見下文。
1.三菱PLC風洞測試軟件概述
為了測試風扇的性能而設計的測試系統。通過改變電流,來檢測設備儀器內部的壓強變化,完成一輪測試之后,形成曲線圖和數據表格,來分析它們是否符合既定的比例關系,從而判斷風扇的性能好壞與否。
(1)運行環境
①軟件環境:C# winForm框架、windows XP操作系統、SQL Server 2005 數據庫
②硬件環境:三菱可編程控制器 FX3U、變頻器、傳感器、
2.總體設計
(1)系統目標
借助風洞設備儀器,通過變換目標風扇的電流值,用實時、具體、有效的數據或圖表形式來直觀的論證風扇的性能,而這一過程,需要通過軟件在上位機上更加形象的分析并體現出來。
(2)設計方案
①系統的硬件結構設計
硬件結構原理框架圖如圖所示:
圖1 硬件結構原理框架圖
將風扇上電之后,通過三菱可編程控制器PLC來控制變頻器的頻率變化,從而控制風扇的電流改變風扇的風力大小,在風洞設備儀器上檢測傳感器上數據的變化,將兩個傳感器的數據傳回三菱可編程控制器PLC。
②系統軟件設計
軟件主要包括:PLC連接初始化、與數據庫連接初始化、數據信息顯示、PLC數據傳遞、數據庫數據存儲、本地數據導出。
六大功能塊之間的關系是:程序運行時分別進行PLC連接初始化與數據庫連接初始化,啟動PLC連接測試,判定物理連接是否OK,如果OK,則讀取PLC的相關數據,顯示在主界面里。如果連接失敗,則彈出錯誤框提示,檢查無誤,再次測試。測試OK后,從PLC中讀取基本數據到程序中。當點擊程序中的<開始采集>按鈕進行測試時,系統開始與數據庫進行連接,并將PLC里采集到的數據實時存儲到數據庫中,經過軟件數據分析處理后,在當前程序主界面的<數據動態顯示>中顯示出來。當采集結束后,可以選擇將數據進行導出,以EXCEL格式保存。
功能塊關系如下圖所示:
圖2 軟件的功能模塊
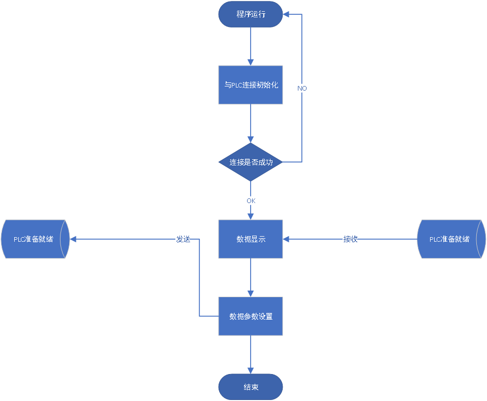
其中,軟件與PLC之間的通信關系:
圖3 軟件與PLC之間的通信
③程序數據分析邏輯流程圖
以上就是關于三菱PLC風洞測試軟件設計的全部內容了。
海藍機電,三菱代理商。提供三菱PLC、三菱伺服電機、三菱變頻器、三菱觸摸屏等自動化產品的銷售,同時也是臺灣威綸觸摸屏和新寶減速機一級代理。我們只售原裝正品,貨源充足,等你了解哦。




評論信息